cpaua
·1 хв6

DeepSeek V4: Flash і Pro з контекстом 1M токенів та thinking mode

DeepSeek V4: Flash і Pro з контекстом 1M токенів та thinking mode

DeepSeek V4

Тихо, не поспішаючи, без метушні китайці випустили свій довгоочікуваний оновлений флагман у 4 версіях

Підігрію інтерес: вона обігнала новий Kimi K2.6

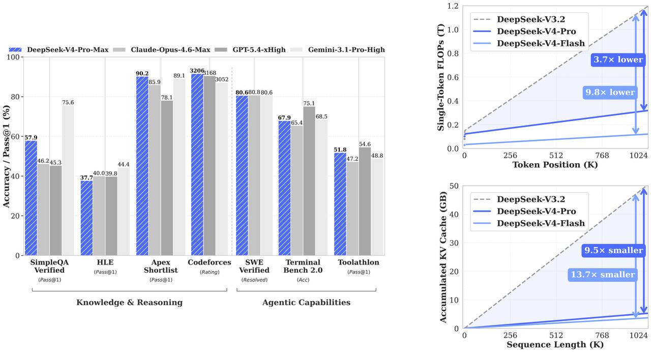
DeepSeek-V4-Flash і DeepSeek-V4-Pro. Обидві підтримують контекст до 1 млн токенів, максимальний вивід до 384K + tool calls і JSON output, тобто йдеться не просто про розумніший чатик, а про модель, яку одразу проєктують під серйозні продуктові й агентні сценарії

У моделей thinking mode увімкнено за замовчуванням, режим можна вимкнути й перемкнутися на non-thinking, якщо потрібна швидкість

На виході отримали продукт для продакшна. Сумісний із форматами API OpenAI- та Anthropic, а старі імена deepseek-chat і deepseek-reasoner поступово прив’язуються до режимів deepseek-v4-flash

Вартість — $0.14/$0.28 за 1М токенів Flash і $1.74/$3.48 Pro

Пишуть, що вже можна спробувати у вебверсії

Hugging Facecollections/deepseek-aihuggingface.co/collections/deepseek-ai/deepseek-v4

Поділитися:
Автор
cpaua

Адміністратор блогу VibeCode. Пишу про vibe coding, AI та open source.

Коментарі

Щоб залишити коментар, увійдіть або зареєструйтеся
Завантаження...